야코비 행렬식
야코비 행렬식 $J$는 적분을 계산할 때 흔히 다음과 같은 변환에서 등장한다.
$$
dxdy=\lvert J \rvert\space dudv
$$
야코비 행렬식은 수리통계학에서도 확률변수의 변환을 진행할 때 ‘미분계수의 다차원 버전’으로서 자주 등장하는 편이므로 따로 정리할 필요가 있다. 이번 글에서는 편의를 위해 2차원의 변환을 다룰 것이나, 여기서 얻은 결론들은 임의의 $n$차원으로 확장할 수 있다.
#1. 야코비 행렬
행렬식과 행렬은 뗄 수 없는 관계이다. 야코비 행렬식 $J$가 있다면 그에 해당하는 야코비 행렬(Jacobian Matrix; 雅可比矩阵) $\mathbf J$도 있을 것이다. 다시 말해, $J:=\det(\mathbf J)$인 것이다. 야코비 행렬 $\mathbf J$는 다음과 같이 정의되는 행렬이다.
$$
\mathbf{J}:=
\begin{bmatrix}
\frac{\partial x}{\partial u}
&
\frac{\partial x}{\partial v}
\\[1ex]
\frac{\partial y}{\partial u}
&
\frac{\partial y}{\partial v}
\end{bmatrix}
$$
이 행렬은 어떻게 등장하게 되었을까? 다음과 같이 $(x,y)$에서 $(u,v)$로 가는 변환과 역변환을 생각해보자.
$$
\begin{bmatrix}
u
\\
v
\end{bmatrix}
=
\begin{bmatrix}
u(x,y)
\\
v(x,y)
\end{bmatrix}
,
\space
\begin{bmatrix}
x
\\
y
\end{bmatrix}
=
\begin{bmatrix}
x(u,v)
\\
y(u,v)
\end{bmatrix}
$$
$x(u,v)$와 $y(u,v)$ 의 전미분은 다음과 같다.
$$
dx=\frac{\partial x}{\partial u}du+\frac{\partial x}{\partial v}dv
\\[1ex]
dy=\frac{\partial y}{\partial u}du+\frac{\partial y}{\partial v}dv
$$
이 식을 다음과 같이 행렬의 곱셈 형태로 정리하면 야코비 행렬이 자연스럽게 등장한다.
$$
\begin{bmatrix}
dx
\\[1ex]
dy
\end{bmatrix}
=
\begin{bmatrix}
\frac{\partial x}{\partial u}&\frac{\partial x}{\partial v}
\\[1ex]
\frac{\partial y}{\partial u}&\frac{\partial y}{\partial v}
\end{bmatrix}
\begin{bmatrix}
du
\\[1ex]
dv
\end{bmatrix}
=\mathbf{J}\begin{bmatrix}
du
\\[1ex]
dv
\end{bmatrix}
$$
즉, 전미분 $dx$와 $dy$는 일종의 선형변환이고, 야코비 행렬은 이러한 선형변환의 행렬이라고 볼 수 있다.
#2. 야코비 행렬식
야코비 행렬의 의미를 파악했으므로 이제 야코비 행렬식(Jacobian Determinant; 雅可比行列式)을 등장시킬 차례이다. 야코비 행렬식 $J$는 $dxdy=\lvert J \rvert\space dudv$와 같은 식에서 등장하므로 $dxdy$를 계산하자. 편의를 위해 $\frac{\partial x}{\partial u}$대신 $x_{u}$를 쓸 것이고, 야코비 행렬의 다른 성분도 마찬가지이다.
$$
\begin{split}
dxdy&=(x_u\space du+x_v\space dv)(y_u\space du+y_v\space dv)
\\
&=x_uy_v\space dudv+x_vy_u\space dvdu+x_uy_u\space dudu+x_vy_v\space dvdv
\end{split}
$$
여기서 만약 $dvdu=-dudv$이고, $dudu=0$, $dvdv=0$이라고 ‘가정’하면
$$
\begin{split}
dxdy
&=x_uy_v\space dudv-x_vy_u\space dudv
\\
&=(x_uy_v-x_vy_u)\space dudv
\\
&=J\space dudv
\end{split}
$$
이렇게 야코비 행렬식이 등장한다. 일반적으로 $dxdy$가 양의 값임을 보장하기 위해 절댓값을 씌워서 식을 다음과 같이 수정한다.
$$
dxdy=\vert J\vert\space dudv
$$
#3. 벡터곱과 평행사변형
위에서 야코비행렬식을 등장시키기 위해서 신기한 가정을 했다. 먼저 $dvdu=-dudv$를 보자. 이것은 곱하는 순서를 바꾸면 부호가 바뀌는 가정이다. 그리고 $dudu=0$과 $dvdv=0$은 같은 것을 곱하면 0이 된다는 가정이다.
이런 가정들을 만족하는 연산을 어디선가 본 적이 있다. 바로 벡터의 벡터곱(Cross Product; 叉积)이다. ‘사실 $dudv$가 $\mathbf{du}\times\mathbf{dv}$를 의미한다’라고 생각하면, 이 신기한 가정들이 모두 성립한다.
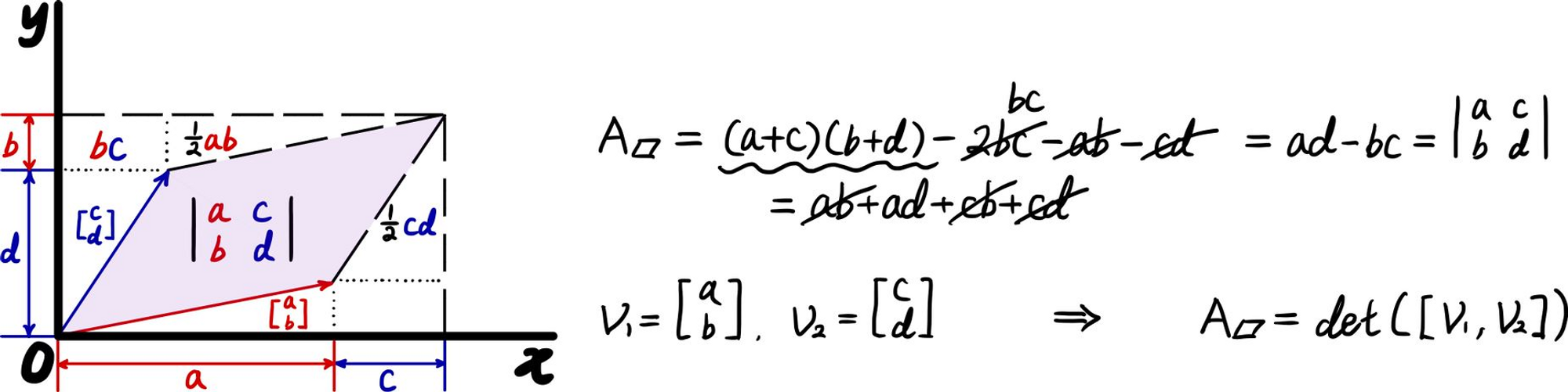
그런데 정말 그럴까? 흔히 $\mathbb{R}^2$에서 선형독립인 두 벡터 $\mathbf{v_1}$, $\mathbf{v_2}$를 변으로 삼는 평행사변형의 면적을 $\det([\mathbf{v_1},\mathbf{v_2}])$로 나타낸다.

한편, $\mathbf{v_1}$, $\mathbf{v_2}$를 변으로 삼는 평행사변형의 면적은 $\vert\mathbf{v_1}\vert\vert\mathbf{v_2}\vert\sin\theta$로 계산할 수 있다. $\theta\in[0,\pi]$는 두 벡터 사이의 각도이다. 그리고 벡터곱의 정의에 의해 $\mathbf{v_1 \times v_2}:=\vert\mathbf{v_1}\vert\vert\mathbf{v_2}\vert\sin\theta\space\mathbf{\hat{n}}$이다. $\mathbf{\hat{n}}$은 $\mathbf{v_1}$, $\mathbf{v_2}$에 수직인 단위벡터이다. 따라서 이 평행사변형의 면적 $\vert\mathbf{v_1}\vert\vert\mathbf{v_2}\vert\sin\theta$는 벡터곱의 크기이기도 하다.

이상을 종합하면 다음 등식이 성립한다.
$$
\vert\mathbf{v_1 \times v_2}\vert=\vert\mathbf{v_1}\vert\vert\mathbf{v_2}\vert\sin\theta=\det([\mathbf{v_1},\mathbf{v_2}])
$$
이 결과를 통해서, 이중적분을 계산할 때 $\mathbb{R}^2$에서의 면적소(Area Element; 面积微元)인 $dA=dxdy$는 사실 다음과 같은 의미를 지닌다는 것을 알 수 있다.
$$
dA=\vert\mathbf{dA}\vert=\lvert\mathbf{dx\times dy}\rvert
=\det\left(
\begin{bmatrix}
dx&0
\\
0&dy
\end{bmatrix}\right)
=dxdy
$$
여기서 $\mathbf{dx}=dx\mathbf{\hat{i}}=
\begin{bmatrix}
dx
\\
0
\end{bmatrix}$, $\mathbf{dy}=dy\mathbf{\hat{j}}=
\begin{bmatrix}
0
\\
dy
\end{bmatrix}$로 둔다. 결국 $dxdy=\mathbf{dx\times dy}$를 의미한다고 볼 수는 없고, $dxdy=\vert\mathbf{dx\times dy}\vert$이다. 그러나
$$
\begin{split}
&dydx=\vert\mathbf{dy\times dx}\vert=\det\left(
\begin{bmatrix}
0&dx
\\
dy&0
\end{bmatrix}\right)
=-dxdy
\\[1ex]
&dxdx=\vert\mathbf{dx\times dx}\vert=\det\left(
\begin{bmatrix}
dx&dx
\\
0&0
\end{bmatrix}\right)
=0
\end{split}
$$
이기 때문에, ‘신기한 가정’이 모두 성립한다.