확률변수 $T$가 모수가 $(r,\lambda)$인 감마분포(Gamma Distribution; 伽马分布)를 따를 때, $T \sim \Gamma(r,\lambda)$라고 표현하고, $T$는 다음과 같은 PDF를 갖는다:
$$
f_
{T}(t)=\frac{\lambda^r}{\Gamma(r)}t^{r-1}e^{-\lambda t}\mathbf{1}_
{[0,\infty)}(t)
$$
감마분포의 확률변수 $T$, 모수 $(r,\lambda)$는 다음과 같은 의미를 갖는다:
$\space$
$T$: 평균 발생횟수가 $\lambda t$인 어떤 사건이 $r$번 발생하기까지 걸린 시간.
$r$: 평균 발생횟수가 $\lambda t$인 어떤 사건의 목표 발생횟수.
$\lambda$: 단위시간내 어떤 사건의 평균 발생횟수.
$\space$
감마분포는 지수분포에서 발생횟수를 늘린, 이른바 확장버전이다. 그러므로 ‘평균 발생횟수가 $\lambda t$인 사건이 $r$번 발생하기까지 $t$시간이 넘게 걸릴 확률’을 생각해야한다. 지수분포를 유도했던 아이디어를 차용하면, ‘평균 발생횟수가 $\lambda t$인 어떤 사건이 $t$시간내 $x$번 발생할 확률’은 다음과 같다.
$$
P(X=x)=\frac{e^{-\lambda t}(\lambda t)^{x}}{x!}
$$
그리고 ‘평균 발생횟수가 $\lambda t$인 사건이 $r$번 발생하기까지 $t$시간이 넘게 걸릴 확률’은 $t$시간내 $r$번보다 적게 발생할 확률을 모두 합한 것이다.
$$
\begin{split}
P(T>t)&=P(X=0)+P(X=1)+\cdots+P(X=r-1)
\\
&=\sum_{x=0}^{r-1}P(X=x)
\\
&=\sum_{x=0}^{r-1}\frac{e^{-\lambda t}(\lambda t)^{x}}{x!}
\end{split}
$$
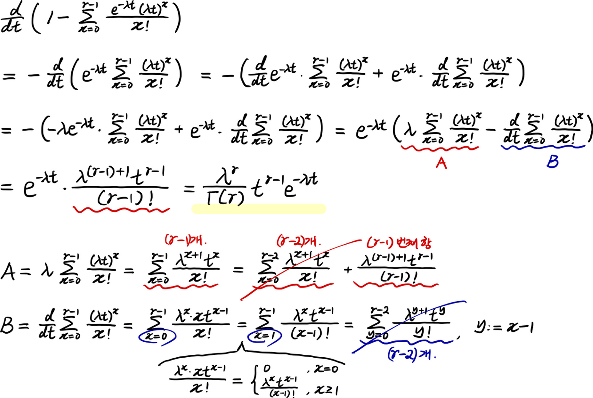
이제 $T$의 CDF는 다음과 같다.
$$
F_T(t):=P(T \le t)=1-P(T>t)=1-\sum_{x=0}^{r-1}\frac{e^{-\lambda t}(\lambda t)^{x}}{x!}
$$
그리고 $T$의 PDF는 이것을 $t$로 미분해서 구할 것이다.

이렇게 감마분포의 PDF를 얻었다. 지수분포라는 이름의 기원이 지수형태의 PDF이듯이, 감마분포라는 이름은 PDF가 감마함수를 달고 있어서 그렇게 지은 것 같다.
지수분포와 마찬가지로 감마분포의 관측값도 시간이므로 양수임이 보장되어야 한다. 따라서 지시함수 $\mathbf{1}_
{[0,\infty)}(t)$을 곱하여 최종적인 PDF를 다음과 같이 정한다.
$$
f_
{T}(t)=\frac{\lambda^r}{\Gamma(r)}t^{r-1}e^{-\lambda t}\mathbf{1}_
{[0,\infty)}(t)
$$
한편, 지수분포를 확장한 것이 감마분포라고했다. 즉, 다음이 성립한다. 실제로 $r=1$일 때, 감마분포의 PDF는 지수분포의 PDF이다.
$$
\Gamma(1,\lambda)=\mathrm{Exp}(\lambda)
$$
감마분포, 지수분포, 그리고 음이항분포, 기하분포 모두 일정한 사건이 일어나기까지 기다리는 것을 모델링한다. 감마분포와 지수분포는 연속확률변수인 ‘시간’을 모델링하고, 음이항분포와 기하분포는 이산확률변수인 ‘시행횟수’를 모델링한다. 이렇게 기다림과 관련된 분포는 흔히 Reliability Theory(可靠性理论)분야에서 응용된다. 특히 감마분포와 지수분포는 전구의 기대수명이나 시스템의 고장률등을 묘사하고 싶을 때 자주 이용되는 분포이다. 이외에도 일정시간 대기하면서 무언가를 기다리는 상황이라면 죄다 이 4가지 분포를 써먹을 수 있겠다.
note: 실제로는 이 분야 끝판왕인 베이블 분포(Weibull Distribution; 威布尔分布)를 제일 많이 쓴다. 추후 작성 예정.